环境准备
Cuda对应图

用Conda安装指定Cuda版本的Pytorch
1 | conda install pytorch cudatoolkit=10.1 -c pytorch |
安装多版本Cuda(用Pytorch框架不用安装Cuda)
下载安装
1 | 根据Cuda对应图下载指定版本的cuda,下载runfile文件,这里以10.1为例 |
使用软链接更方便切换版本
1 | 先将/usr/bin/cuda软链接指向指定版本 |
每次切换版本只需要重建软链接就可以了。
训练技巧
模型参数初始化
普通梯度下降法(SGD,Batch梯度下降)
使用普通的梯度下降方法时,初始化模型时对参数进行归一化,以防止不同参数的scale不一样,部分参数在同等学习率下无法更新
自适应学习率梯度下降法法(动量法,RMSprop算法,Adam算法)
采用自适应学习率的梯度下降方法不需要对参数进行归一化,因为会根据不同scale的梯度进行学习率的缩放,最终稳步达到lLocal optimal
梯度下降优化方法
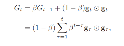
RMSprop算法
采用EMA(指数移动平均)来计算每次更新的梯度,公式如下:

其中$\beta$为衰减率,一般取0.9;$G_t$就是多次梯度的指数衰减平均,其中时间越接近当前的梯度权重越高,时间越早的梯度权重越低。
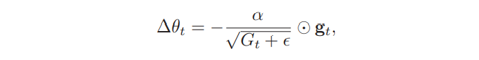
其中参数更新差值(参数更新前后的差值,方向为负表示下降)计算如下:

其中$\alpha$为初始学习率,比如0.001; 迭代过程中每个参数的学习率随着$G_t$变化而变化,当EMA值较大时,学习率会变小,抑制更新,EMA值较小时,学习率会变大,加速更新,由此反复动态调节。
动量法
在物理上,动量是速度和质量的乘积,也就是和速度成正比;动量法就是用之前积累的动量代替真正的梯度,而把单词的梯度当作是梯度加速度。
在第t次迭代时,计算负梯度的EMA作为参数的更新量:

其中$\rho$代表动量因子,通常为0.9,$\alpha$为学习率;
每个参数的实际更新差值取决于最近一段时间内梯度的加权平均,当某个参数在最近一段时间的梯度方向不一致,其真实的参数更新幅度就会减小,起到减速作用,反之亦然。也就是说在反复震荡的时候可以减小梯度更新幅度(而不是学习率)增加了稳定性。
Adam(自适应动量估计)方法
动量法和RMSprop的结合,不仅用动量作为参数更新量,而且可以自适应调整学习率。
公式如下:


其中$\beta_1$和$\beta_2$分别为两个移动平均的衰减,通常取值为0.9和0.99,$M_t$为参数更新量,$G_t$为学习率衰减系数。
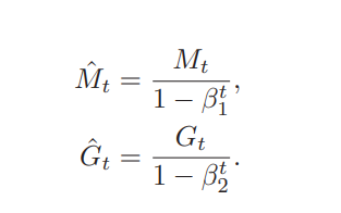
一般$M_0$和$G_0$一般都设置为0, 迭代初期$M_t$和$G_t$的值跟真实均值和方差相差较大,被系数缩小了很多(特别是$\beta$接近1的时候),可通过以下公式进行修正:

随着时间的累积,分母趋近为1,两值之间的差距基本上可以无视。
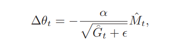
Adam算法的参数更新差值为:

其中学习率通常设置为0.001。
参考文献:
《神经网络与深度学习》 – 邱锡鹏